提高智能渦街蒸汽流量計計量精度應注意的問題
智能渦街蒸汽流量計具有安裝方便,測量范圍寬,精度高,重復性好,維修簡便等特點,廣泛應用于蒸汽計量。基于渦街蒸汽流量計的測量原理和蒸汽的性質,要實現準確計量,特別是對于貿易結算的表計,實際使用中還需注意以下問題。
1 流量計合理選型和安裝是蒸汽準確計量的前提
1.1 流量計選型
原則是以流量選口徑,但要滿足以下兩個條件。
1.1.1 管道雷諾數的要求
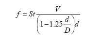
智能渦街流量計是通過檢測流體經過旋渦發生體處產生的旋渦數(即旋渦頻率)而求得一段時間間隔內流過的流體總量,如下式所示。
式中 f ——旋渦頻率,Hz
St ——斯特羅哈常數
V ——管道中流體的速度,m/s
d ——發生體柱寬,mm
D——管道內徑,mm
當雷諾數Re 在2×104~7×106 之間時,式中斯特羅哈爾數St 基本為一常數,流量計獲得的頻率與流體的流速成正比關系,這是儀表的正常工作范圍,超出這一范圍,流量計的測量精度就會降低。當Re<5 000 時為測量死區。
1.1.2 蒸汽在管道流速的要求
由于智能渦街蒸汽流量計是通過測量旋渦的釋放頻率達到測量流量目的的,所以流體的流速應有限制,不同的口徑有不同的流速要求。一般型渦街流量計測量的技術指標是,管道通徑為DN15~300mm 時,測量蒸汽的zui大流速為80 m/s(選型時常按zui大流速的0.8 選取)。流速過大易產生嘯叫,并容易使渦街的傳感器損壞。流速的下限要求是,保證測量的精度,當管道通徑為DN15~100 mm 時,zui小流速一般取3 m/s 或雷諾數為20 000 時的流速的較大值;當管道通徑為DN150~300 mm 時,一般取3 m/s 或雷諾數為40 000 時的流速的較大值。
1.2 流量計安裝
原則是保證直管段,避開振動源及電磁干擾。直管段具有整流的作用,保持一定的直管段就是保持蒸汽的在管道的流動狀態。
1.2.1 測壓口位置的安裝選擇
在貿易結算時一般按蒸汽的質量進行結算,要將蒸汽的體積流量換算成質量流量,必不可少的是測量出旋渦發生體處蒸汽靜壓力,此處靜壓力由于流速較高,比渦街流量計上游管道內蒸汽壓力低一些。若在此處準確地測量靜壓力,由于多種原因有一定困難。但在流量計下游一定距離的管道上,測量到能與發生體后面傳感器處的靜壓相等或接近的靜壓,是一個可行的方法,也符合GB/T 2624—1993 標準中4.4.1 條規定“流體的靜壓應在上游或下游取壓口平面處測得”。一般合適的距離為從流量計下游法蘭算起2~7 倍管道內徑。
1.2.2 測溫口位置的安裝選擇
GB/T2624—1993 標準中規定“流體溫度zui好在節流件下游測得”,“如溫度計插孔或套管位于下游,它與節流件之間的距離等于或大于5D”。測溫口一般位于測壓口下游的1~2 倍管道內徑處。
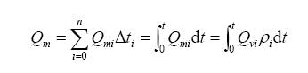
2 溫度、壓力自動補償是蒸汽準確計量的保證
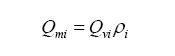
貿易結算中,蒸汽是按質量流量m Q 計量的。對于渦街流量計來說,實際測得是體積流量v Q ,再經過計算而獲得質量流量,即:
式中 Q mi——單位時間的蒸汽質量流量,kg
Qvi——單位時間的蒸汽體積流量,m3
ρi——單位時間的蒸汽密度,kg/m3,與蒸汽的溫度、壓力有關其累計總量為:
2.1 飽和蒸汽的溫度、壓力補償
飽和蒸汽采用溫度補償或壓力補償,在本質上是一樣的。其原因在于飽和狀態的蒸汽,其壓力和溫度之間呈單值函數關系,從蒸汽溫度查出的密度同與此溫度對應的壓力查出的密度是一致的,即ρ = f (p) 或ρ = f (t)。因此,采用溫度補償和壓力補償在原理上都是可行的。
2.1.1 飽和蒸汽采用溫度補償和壓力補償的比較
顯然,壓力補償獲得的補償精確度比溫度補償高。由于上述原因,使得在測量飽和蒸汽質量流量時,僅僅測量壓力,并據此查蒸汽密度表,進而計算質量流量,在實踐中應用的較多。
2.1.2 飽和蒸汽的濕度問題
飽和蒸汽易凝結,在傳輸過程中如有熱量損失,蒸汽中便有液滴或液霧形成。另外鍋爐在正常工作中,鍋爐汽包中的水處于沸騰狀態,汽液之間不容易分離。蒸汽中含有液相水珠的飽和蒸汽稱為濕飽和蒸汽。表征濕飽和蒸汽的主要參數有壓力(p)、溫度(t)、密度(ρ)、比焓(h)、干度(x)或濕度(y),且有如下關系:
式中 m1 ——濕蒸汽中汽的質量
M2 ——濕蒸汽中水珠的質量
m——濕蒸汽中汽液的總質量
準確計量飽和蒸汽質量流量比較困難,因為飽和蒸汽的干度難以保證,蒸汽干度的波動也會引起流量計示值產生附加誤差。必要時還應采取補償措施,選用帶有濕度補償的流量積算儀,以實現準確的計量。
2.2 過熱蒸汽的補償
過熱蒸汽是單相流體(x=100%)。過熱蒸汽的溫度和壓力是兩個互不相關的獨立變量,過熱蒸汽的密度由這兩個參數決定,即ρ = f(t,p) ,因此須采用溫度、壓力的自動補償。
例如某公司一用戶流經流量計蒸汽參數為:壓力0.55 MPa、溫度165 ℃,為過熱蒸汽,查表此時對應蒸汽的密度為2.842 kg/m3。而在0.55 MPa 壓力下對應飽和蒸汽的密度查表為2.918 kg/m3,在165 ℃溫度下對應飽和蒸汽的密度查表為3.671 kg/m3。
可以看出,如果渦街流量計不采用溫度、壓力自動補償,又不能實時地檢測蒸汽的密度,設定為飽和蒸汽補償或只按密度不變的原則將密度定為常數,而在實際情況下,密度變化很大,致使蒸汽質量流量計量不準,一般誤差高達10%~30%。
3 提高蒸汽計量精度不可忽視的幾個問題
3.1 溫度變化的影響
渦街流量計及其旋渦發生體一般都為金屬材料制作。金屬固體在高溫下具有熱膨脹的特性。當溫度變化較大時,發生體的柱體寬度和流量計的本體通徑將隨之變化,這將引起測量誤差。K 系數可用下式進行修正。
式中 Kt ——流體溫度為t 時的流量系數,P/L
Km ——流體溫度為0 t 時的平均流量系數,P/L
t——工作溫度,℃
t0 ——校準溫度,常取15 ℃
3.2 管道內徑引入的誤差
與渦街流量計連接的管道,其內徑與渦街流量計管內徑一致的情況并不很多。當管道內徑等于或略大于渦街流量計測量管內徑時,流量示值穩定,流量系數正常。但當管道內徑小于測量管內徑時,流量示值出現強烈的噪聲,這是因為流體流過截面積突變的管段時產生的二次流所致。在管徑大于測量管內徑時,也有二次流產生,只因二次流存在的部位在測量管之外,對儀表示值影響不明顯。當管道內徑小于測量管內徑(3%以內)時雖然不會對儀表本身所固有的流量系數產生影響,但因截面積突變引起表觀流速變化而可能產生附加測量誤差。這時可通過修正流量系數時可通過修正流量系數Km 來補償,其修正后流量系數Km′為:
式中 FD —修正系數
D1 ——流量計測量管實際內徑
D2 —管道實際內徑
3.3 對流量積算儀的要求
3.3.1 流量積算儀時鐘對流量累積的影響
從公式
可以看出,流量積算儀的時鐘對累積流量有較大的影響,在貿易結算中要進行必要的修正。
3.3.2 作為貿易結算的流量積算儀應具備的功能
為減少蒸汽計量貿易糾紛,流量積算儀可增加以下功能:
① 斷電記憶功能,以此檢查流量計斷、送電時間;
② 用汽判斷功能,由于渦街流量計易受振動的影響,可以根據溫度、壓力參數值可以判斷管道內是否有蒸汽流動和閥門是否內漏,消除用戶在不用蒸汽時振動的影響。
③ 小流量補足記錄功能,當瞬時流量小于渦街流量計可測流量時,實現用戶協議保底量的自動累積。
④ 超流量加倍記錄功能,當瞬時流量超過協議zui大用汽量時,根據規定實現加倍計量的自動累積。
產品推薦
同類文章排行
- 江蘇奧科儀表公司新上氣體音速噴嘴標定裝置試機成功
- 蒸汽管道流量計
- 奧科儀表“師帶徒”促進新員工崗位成才
- 奧科儀表IC卡蒸汽計量預收費系統湖南益陽安裝紀實
- 奧科IC卡蒸汽預付費系統的功能介紹
- 奧科儀表公司的產品優勢
- 環境溫度對渦街蒸汽流量計的影響
- 關于2018年清明節放假安排的通知
- 蒸汽流量計帶溫壓補償有哪些優勢?
- 奧科蒸汽流量計在儀表行業中遙遙,獲得大量認可





